
Publications
Dissertation

Hyaluronic Acid Graft Copolymers as Potential Vehicles for Intravitreal Drug Delivery
Tina Borke, University of Helsinki 2018. http://urn.fi/URN:ISBN:978-951-51-4200-9
Research Articles

SYNTHESIS AND CHARACTERIZATION OF CARBOXYMETHYLATED CORNSTARCH
Zh. A. Nurakhmetova, E. P. Kurbashev, B. S. Selenova, T. Borke, V. O. Aseyev, S. E. Kudaibergenov, Series Chemistry and Technology 2019, 1(433):6-15. doi:10.32014/2019.2518-1491.1

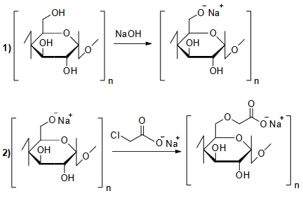
Hyaluronic Acid Graft Copolymers with Cleavable Arms as Potential Intravitreal Drug Delivery Vehicles
Tina Borke, Mathie Najberg, Polina Ilina, Madhushree Bhattacharya, Arto Urtti, Heikki Tenhu, Sami Hietala, Macromol. Biosci. 2018, 18, 1700200. doi:10.1002/mabi.201700200

Poly(glyceryl glycerol): A multi-functional hydrophilic polymer for labeling with boronic acids
Tina Borke, Antti Korpi, Fabian Pooch, Heikki Tenhu, Sami Hietala, J. Polym. Sci. Part A: Polym. Chem.2017, 55, 1822–1830. doi:10.1002/pola.28497

Optimized triazine-mediated amidation for efficient and controlled functionalization of hyaluronic acid
Tina Borke, Françoise M. Winnik, Heikki Tenhu, Sami Hietala, Carbohydrate Polymers 2015, 116, 42-50. doi:10.1016/j.carbpol.2014.04.012

ε-Decalactone: A Thermoresilient and Toughening Comonomer to Poly(l-lactide)
Peter Olsén, Tina Borke, Karin Odelius, and Ann-Christine Albertsson, Biomacromolecules 2013, 14 (8), 2883-2890. doi: 10.1021/bm400733e

Cavitation Engineered 3D Sponge Networks and Their Application in Active Surface Construction
Julia Gensel, Tina Borke, Nicolas Pazos Pérez, Andreas Fery, Daria V. Andreeva, Eva Betthausen, Axel H. E. Müller, Helmuth Möhwald, Ekaterina V. Skorb, Advanced Materials 2012, 24 (7), 985-989. doi:10.1002/adma.201103786

Silver coated aluminium microrods as highly colloidal stable SERS platforms
Nicolas Pazos-Perez, Tina Borke, Daria V. Andreeva, Ramon A. Alvarez-Puebla, Nanoscale 2011, 3 (8), 3265-3268. doi:10.1039/C1NR10403A
Journal Cover

Cover Image, Volume 55, Issue 11
J. Polym. Sci. Part A: Polym. Chem. 2017, 55 (11), 55: i–ii. doi:10.1002/pola.28619
Posters

Rational design of highly bright CD20+ specific CAR T cell detection reagent

Hyaluronan-conjugates for controlled ocular drug delivery
